Compte tenu d'un arbre n-aire contenant des valeurs de nœud positives, la tâche consiste à trouver le profondeur de l'arbre.
Note: Un arbre n-aire est un arbre où chaque nœud peut avoir zéro ou plus nœuds enfants. Contrairement à un arbre binaire qui a au maximum deux enfants par nœud (gauche et droite) l'arbre n-aire permet plusieurs succursales ou des enfants pour chaque nœud.
Exemples :
Saisir:
Sortir: 3
Explication: Le chemin le plus long de la racine (nœud 81) à une feuille est soit 81 -> 26 -> 95, soit 81 -> 26 -> 86, ce qui donne une profondeur maximale de 3.Saisir:
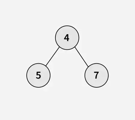
![]()
Sortir: 2
Explication: Le chemin le plus long depuis la racine (nœud 4) vers n'importe quelle feuille (nœuds 5 ou 7) est 2 car il ne nécessite que deux niveaux de parcours.Jasmine Davis enfant
Approche:
L'idée est de calculer le profondeur d'un arbre N-aire récursivement initialiser le profondeur maximale comme 0 puis calculer récursivement le profondeur pour chaque enfant et suivre les profondeur la plus élevée rencontrés. Ajoutez enfin 1 à la profondeur maximale (pour le nœud actuel) et renvoie le résultat . Cette approche garantit que nous trouvons le le chemin le plus long de la racine à n’importe quel nœud feuille.
L'arbre N-Ary peut être parcouru comme un arbre normal. Il suffit de considérer tous les enfants d'un nœud donné et d'appeler cette fonction de manière récursive sur chaque nœud.
C++// C++ Code to find the depth of an N-ary tree #include using namespace std; class Node { public: int data; vector<Node*> children; Node(int val) { data = val; } }; // Recursive function to calculate maximum depth int maxDepth(Node* root) { // If the node is null depth is 0 if (!root) { return 0; } int depth = 0; // Recur for all children and find the maximum depth for (auto child : root->children) { depth = max(depth maxDepth(child)); } // Add 1 to include the current node // in the depth count return depth + 1; } int main() { // Representation of given N-ary tree // 1 // / | // 2 3 4 // / // 5 6 Node* root = new Node(1); root->children.push_back(new Node(2)); root->children.push_back(new Node(3)); root->children.push_back(new Node(4)); root->children[0]->children.push_back(new Node(5)); root->children[2]->children.push_back(new Node(6)); cout << maxDepth(root); return 0; }
Java // Java Code to find the depth of an N-ary tree import java.util.*; class Node { int data; List<Node> children; Node(int val) { data = val; children = new ArrayList<>(); } } // Recursive function to calculate // maximum depth class GfG { static int maxDepth(Node root) { // If the node is null depth is 0 if (root == null) { return 0; } int depth = 0; // Recur for all children and find // the maximum depth for (Node child : root.children) { depth = Math.max(depth maxDepth(child)); } // Add 1 to include the current node // in the depth count return depth + 1; } public static void main(String[] args) { // Representation of given N-ary tree // 1 // / | // 2 3 4 // / // 5 6 Node root = new Node(1); root.children.add(new Node(2)); root.children.add(new Node(3)); root.children.add(new Node(4)); root.children.get(0).children.add(new Node(5)); root.children.get(2).children.add(new Node(6)); System.out.println(maxDepth(root)); } }
Python # Python Code to find the depth # of an N-ary tree class Node: def __init__(self val): self.data = val self.children = [] # Recursive function to calculate # maximum depth def max_depth(root): # If the node is None depth is 0 if not root: return 0 depth = 0 # Recur for all children and # find the maximum depth for child in root.children: depth = max(depth max_depth(child)) # Add 1 to include the current # node in the depth count return depth + 1 if __name__ == '__main__': # Representation of given N-ary tree # 1 # / | # 2 3 4 # / # 5 6 root = Node(1) root.children.append(Node(2)) root.children.append(Node(3)) root.children.append(Node(4)) root.children[0].children.append(Node(5)) root.children[2].children.append(Node(6)) print(max_depth(root))
C# // C# Code to find the depth of an N-ary tree using System; using System.Collections.Generic; class Node { public int data; public List<Node> children; public Node(int val) { data = val; children = new List<Node>(); } } // Recursive function to calculate // maximum depth class GfG { static int MaxDepth(Node root) { // If the node is null depth is 0 if (root == null) { return 0; } int depth = 0; // Recur for all children and find the maximum depth foreach (Node child in root.children) { depth = Math.Max(depth MaxDepth(child)); } // Add 1 to include the current // node in the depth count return depth + 1; } static void Main(string[] args) { // Representation of given N-ary tree // 1 // / | // 2 3 4 // / // 5 6 Node root = new Node(1); root.children.Add(new Node(2)); root.children.Add(new Node(3)); root.children.Add(new Node(4)); root.children[0].children.Add(new Node(5)); root.children[2].children.Add(new Node(6)); Console.WriteLine(MaxDepth(root)); } }
JavaScript // JavaScript Code to find the depth // of an N-ary tree class Node { constructor(val) { this.data = val; this.children = []; } } // Recursive function to calculate // maximum depth function maxDepth(root) { // If the node is null depth is 0 if (!root) { return 0; } let depth = 0; // Recur for all children and find // the maximum depth for (let child of root.children) { depth = Math.max(depth maxDepth(child)); } // Add 1 to include the current node // in the depth count return depth + 1; } // Representation of given N-ary tree // 1 // / | // 2 3 4 // / // 5 6 const root = new Node(1); root.children.push(new Node(2)); root.children.push(new Node(3)); root.children.push(new Node(4)); root.children[0].children.push(new Node(5)); root.children[2].children.push(new Node(6)); console.log(maxDepth(root));
Sortir
3
Complexité temporelle : O(n) puisque chaque nœud est visité une fois où n est le nombre total de nœuds dans l'arbre N-aire.
Espace auxiliaire : O(h) où h est la hauteur de l'arborescence en raison de l'utilisation récursive de la pile d'appels.
